中国政府网
云南省政府网
大理州人民政府
繁體
登录
无障碍
长者模式
网站支持IPv6
首页
县政府
政务公开
政务服务
政民互动
走进祥云
专题专栏
您当前的位置:
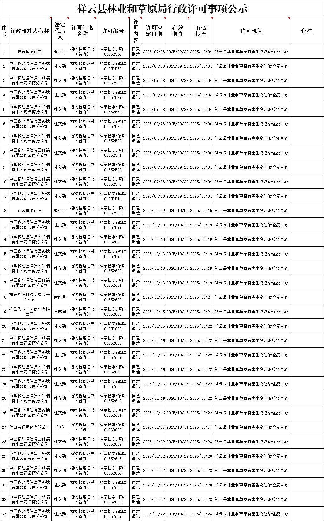
祥云县林业和草原局行政许可事项公示2025-13
来源:
发布时间:
浏览量:
字号:【
大
中
小
】
相关附件
收藏
【
打印
】
扫一扫在手机打开当前页
相关信息